.

July 19, 2019

MATEMATIKA MA KELAS 10

NILAI MUTLAK / MODULUS
(ABSOLUT VALUE)

MATERI NILAI MUTLAK (ABSOLUTE VALUE) KELAS X
KELAS 10 MATEMATIKA WAJIB :
MATERI SPLTV KELAS X
KELAS 10 MATEMATIKA WAJIB :
Pengertian nilai mutlak adalah nilai nilai suatu bilangan riil tanpa tanda (+) ataupun (-). Nilai |a| ataupun |-a| tetap bernilai a.
Grafik Nilai Mutlak menurut definisi nilai mutlak f(x) = |2x| dapat ditulis dengan aturan sebagai berikut f(x) = y = |2x| = 2x jika x lebih besar sama dengan 0 dan -2x, jika x lebih kecil dari 0.

1. Grafik Nilai mutlak, daerah asal fungsi nilai mutlak adalah himpunan bilangan R dan daerah fungsi nilai mutlakk adalah himpunan bilangan riil non negatif.
www.matheduma.com

dengan grafik fungsi sebagai berikut :
www.matheduma.com

jika diperhatikan bahwa grafik fungsi |2x| selalu berada diatas sumbu X

2. Persamaan Nilai Mutlak Linier Satu Variabel
www.matheduma.com

teorema 1 :
untuk setiap bilangan real x berlaku :
www.matheduma.com

www.matheduma.com


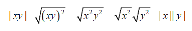
teorema 2 :
untuk setiap x anggota bilangan R dan y anggota bilangan R maka berlaku :
www.matheduma.com


www.matheduma.com


dari beberapa teorema diatas, berikut adalah beberapa penyelesaian dari persamaan nilai mutlak, dengan cara definisi :
www.matheduma.com
 dengan cara mengkuadratkan kedua ruas :
www.matheduma.com

LAPD
KELAS 10 Matematika Wajib :



Silahkan tonton vidio penjelasannya :











berikut latihan soal yang dapat kalian kerjakan !


0 comments:

Post a Comment